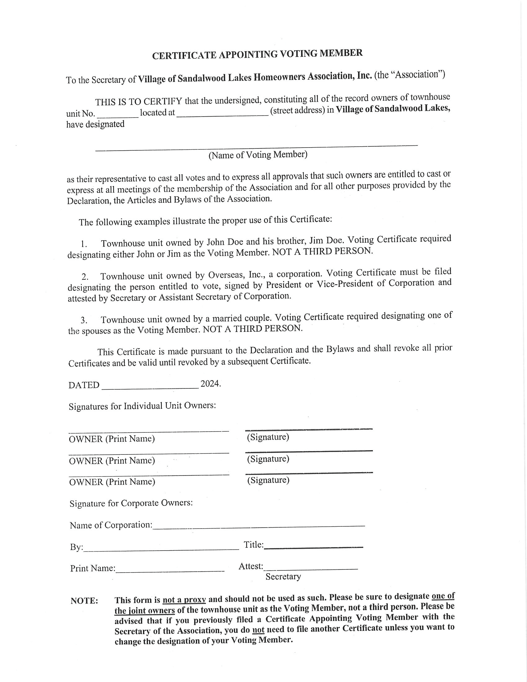
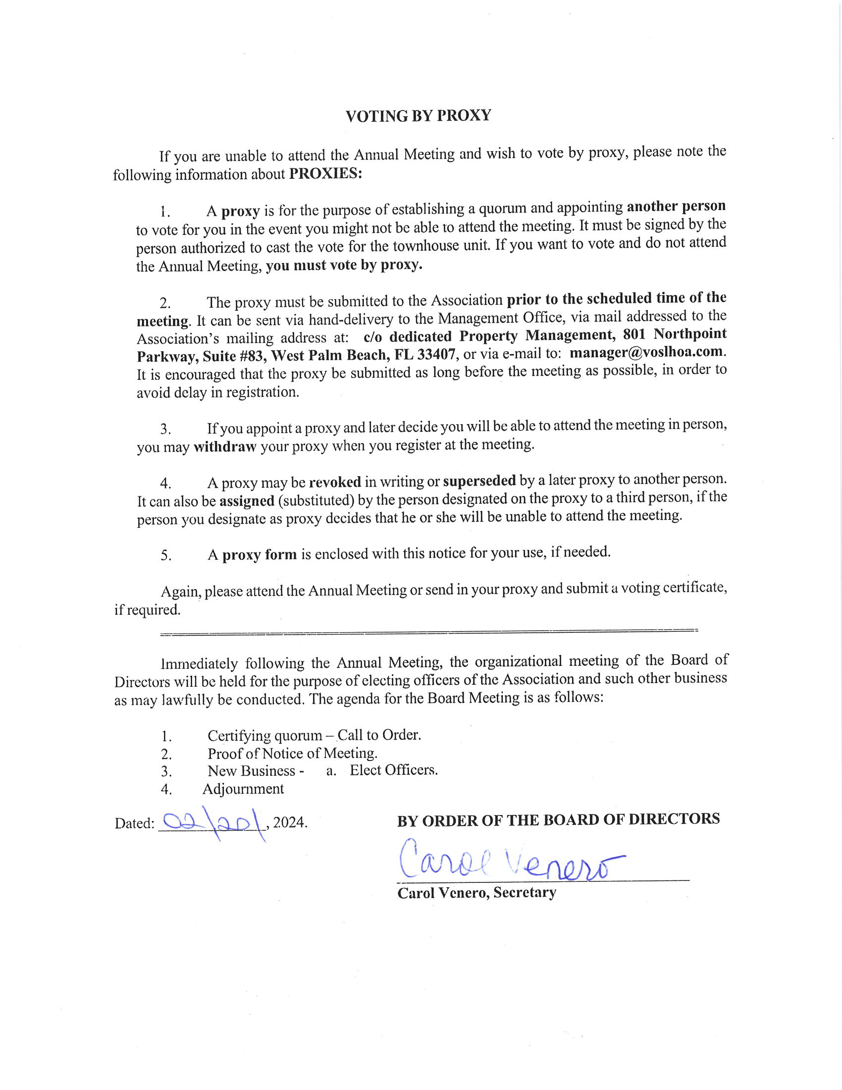
HOA Annual Member’s Meeting March 7th, 2024 Feb 21 Written By Guest User You can download the proxy form and voting certificate here or by clicking on the pages below. Guest User
HOA Annual Member’s Meeting March 7th, 2024 Feb 21 Written By Guest User You can download the proxy form and voting certificate here or by clicking on the pages below. Guest User